Tanszékünk több évtizedre visszanyúlóan foglalkozik csőhálózatokban (ivóvízellátó rendszerek, szennyvízhálózatok, lég- és földgázhálózatok) kialakuló áramlástani, vegyi és biológiai jelenségekkel. Ezek közül kiemelt figyelmet kapott a kutatások során a vízhálózatok hidraulikai vizsgálata (állandósult és átmeneti állapotban), szivárgásdetektálás, optimalizációs és szenzorelhelyezési problémáinak megoldása, klórkoncentráció-eloszlás becslése, biológiai aktivitás előrejelzése, összenyomható közegek (levegő, földgáz, hidrogén) áramlása ill. áramlástechnikai gépek (szivattyúk, kompresszorok, ventilátorok) üzeme.
Kutatási területeink

STACI
Állandósult állapot vízhálózatokban és nyílt felszínű csatornákban
A tanszék munkatársai által fejleszett szoftver, alkalmas hidraulikai hálózatok és nyílt felszínű csatornarendszerek áramlástani modellezésére állandósult állapotban.
PSToolBox
Tranziens gáz- és folyadékdinamikai megoldó
A tanszék munkatársai által fejlesztett szoftver alkalmas átmeneti folyamatok (tranziens jelenségek) modellezésére folyadékok, ideális és nemideális gázok, keverékek esetében. A szoftver tartalmazza az egyéb elemek (szelepek, szivattyúk, kompresszorok) dinamikus modelljét is.


Szenzorelhelyezés
Üzembiztonság növelés szenzor optimalizálással
A nyomástávadók elhelyezése a hálózat megfelelő pontjain kritikusan befolyásolja a mért értékek alapján elvégzett kalibráció pontosságát, emiatt már a mérési pontok helyzetének megválasztása sem triviális feladat. E probléma feloldására kifejlesztettünk egy módszert, melynek segítségével az optimális mérési pontok helyzete azonosítható.
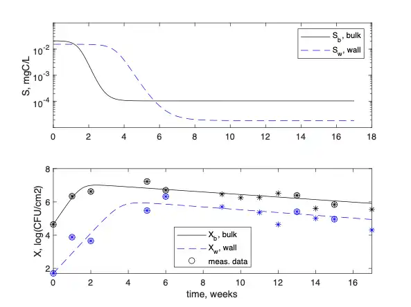
Klórkoncentráció és biológiai aktivitás
Vízminőség javítása a biológiai folyamatok megértésével
Számítási módszereink alkalmasak tetszőleges méretű és bonyolultságú hálózatokban kialakuló klórkoncentráció és biológiai aktivitás előrejelzésére.


Gépi tanulás és MI a vízhálózat-optimalizálásban
Szivárgás észlelése és lokalizálása gépi tanulás módszerekkel ivóvízhálózatokban
A víziközmű rendszerek egyik legnagyobb problémája a szivárgás. Gépi tanuláson és gráf neurális hálózatok alkalmazásán alapuló módszereink a hálózat bizonyos pontjain mért nyomásadatokból rekonstruálják a teljes hálózat állapotát és lokalizálják a szivárgások helyzetét a hálózatban.







